Introducción
En la mayoría de aplicaciones que encontramos en la vida como ingenieros electricistas o electrónicos esta el desarrollo de circuitos basados en la constitución de elementos tales como son las inductancias y capacitancias.
En el desarrollo del laboratorio nos daremos cuenta de cuanto son importantes estos circuitos y las aplicaciones generales que se le pueden dar.
Encontraremos por ejemplo que son y para que sirvan, definiciones tales como reactancia inductiva y capacitiva, frecuencia de resonancia, resonancia, factor de potencia etc.
Conceptos
En la mayoría de las aplicaciones que tienen los capacitores e inductores en los circuitos tienen que ver la variación voltaje y la corriente respecto al tiempo que generan estos dos elementos. En este caso vamos a analizar un circuito en el cual vamos a colocar dichos elementos en serie con una resistencia conectados a una fuente de voltaje de ca que esta en fase con la corriente.
Supongamos que el voltaje aplicado varia senosoidalmente con el tiempo:
mientras que la corriente varia:
Donde
es el ángulo de fase entre la corriente y el voltaje aplicado, donde nuestro objetivo es determinar
e Im.
Con el fin de resolver este problema, debemos analizar el diagrama de fasores para este circuito. En primer lugar, advierta que debido a que todos los elementos están en serie, la corriente en cualquier punto del circuito debe ser la misma en cualquier instante. Por consiguiente en las secciones previas, el voltaje a través de cada elemento tiene diferentes amplitudes y fases.
En particular, el voltaje a través del resistor esta en fase con la corriente, el voltaje a través del inductor adelanta la corriente 90°, y el voltaje a través del capacitor va retrasado de la corriente en 90°. Utilizando estas relaciones de fase, podemos expresar las caídas de voltaje instantáneas a través de los tres elementos como:
En este punto, podríamos continuar notando que el voltaje instantáneo a través de los tres elementos es igual a la suma:
Debido a que la corriente en cada elemento es la misma en cualquier instante, podemos obtener el diagrama de fasores resultante combinando los tres pares de fasores mostrados. Para obtener la suma vectorial de estos voltajes, es conveniente dibujar un diagrama de fasores así:
De acuerdo con este diagrama, vemos que la suma vectorial de las amplitudes de voltaje
es igual a un fasor cuya longitud es le máximo voltaje aplicado Vm, donde el fasor Vm forma un ángulo
con el fasor de corriente Im. Obsérvese que los fasores de voltaje están en direcciones opuestas a lo largo de la misma línea, por lo que podemos construir un fasor de diferencia
la cual es perpendicular al fasor
.
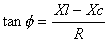
Según él triangulo rectángulo en la figura vemos que:
Por lo tanto, podemos expresar la corriente máxima como:
dado que la impedancia del circuito se define como:
donde la impedancia esta dada en ohms por tanto, podemos escribir la ecuación la ecuación como:
En donde esta es la ecuación general para un circuito de ca Eliminando el factor común Im de cada fasor, podemos construir un triangulo de impedancia. A partir de este diagrama encontramos que él triangulo de fase entre la corriente y el voltaje es:
En la mayoría de aplicaciones que encontramos en la vida como ingenieros electricistas o electrónicos esta el desarrollo de circuitos basados en la constitución de elementos tales como son las inductancias y capacitancias.
En el desarrollo del laboratorio nos daremos cuenta de cuanto son importantes estos circuitos y las aplicaciones generales que se le pueden dar.
Encontraremos por ejemplo que son y para que sirvan, definiciones tales como reactancia inductiva y capacitiva, frecuencia de resonancia, resonancia, factor de potencia etc.
Conceptos
En la mayoría de las aplicaciones que tienen los capacitores e inductores en los circuitos tienen que ver la variación voltaje y la corriente respecto al tiempo que generan estos dos elementos. En este caso vamos a analizar un circuito en el cual vamos a colocar dichos elementos en serie con una resistencia conectados a una fuente de voltaje de ca que esta en fase con la corriente.
Supongamos que el voltaje aplicado varia senosoidalmente con el tiempo:
mientras que la corriente varia:
Donde
Con el fin de resolver este problema, debemos analizar el diagrama de fasores para este circuito. En primer lugar, advierta que debido a que todos los elementos están en serie, la corriente en cualquier punto del circuito debe ser la misma en cualquier instante. Por consiguiente en las secciones previas, el voltaje a través de cada elemento tiene diferentes amplitudes y fases.
En particular, el voltaje a través del resistor esta en fase con la corriente, el voltaje a través del inductor adelanta la corriente 90°, y el voltaje a través del capacitor va retrasado de la corriente en 90°. Utilizando estas relaciones de fase, podemos expresar las caídas de voltaje instantáneas a través de los tres elementos como:
En este punto, podríamos continuar notando que el voltaje instantáneo a través de los tres elementos es igual a la suma:
Debido a que la corriente en cada elemento es la misma en cualquier instante, podemos obtener el diagrama de fasores resultante combinando los tres pares de fasores mostrados. Para obtener la suma vectorial de estos voltajes, es conveniente dibujar un diagrama de fasores así:
De acuerdo con este diagrama, vemos que la suma vectorial de las amplitudes de voltaje
Según él triangulo rectángulo en la figura vemos que:
Por lo tanto, podemos expresar la corriente máxima como:
dado que la impedancia del circuito se define como:
donde la impedancia esta dada en ohms por tanto, podemos escribir la ecuación la ecuación como:
En donde esta es la ecuación general para un circuito de ca Eliminando el factor común Im de cada fasor, podemos construir un triangulo de impedancia. A partir de este diagrama encontramos que él triangulo de fase entre la corriente y el voltaje es: